top of page
Science Problems Solved
Home
Chemistry Videos
Orientation Video CHEM 1405
Conversions
Rrounding and Significant Figures
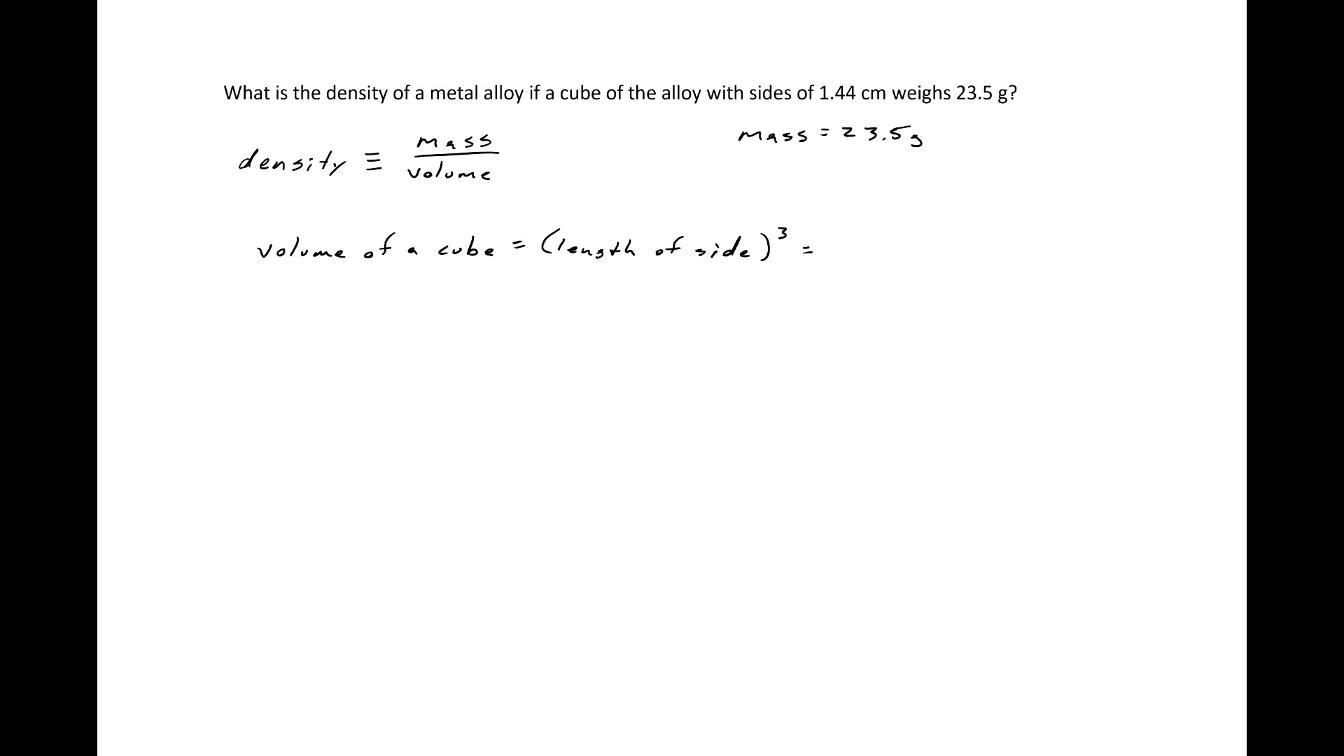
Density
Atomic Weight, Average Atomic Mass
Moles
Atomic Model
Electromagnetic Radiation
Electron Configurations
Ions and Ionic Compounds
Molecular and Empirical Formulas
Geometry and Hybridization
Intermolecular Interactions
Clausius Clapeyron Equation
Heating Curves
Molar Mass
Molarity
GenChem 1
CHEM 1411 Orientation Video
Chapter 1 Essential Ideas
Chapter 2 Atoms, Molecules, Ions
Chapter 3 Electronic Structure
Chapter 4 Chemical Bonding Geometry
Chapter 5 Advanced Theories Bonding
Chapter 6 Composition Substance Solution
Chapter 7 Stoichiometry
Chapter 8 Gases
Chapter 9 Thermochemistry
GenChem 2
CHEM 1412 Orientation Video
Chapter 10 Liquids and Solids
Chapter 11 Solutions and Colloids
Chapter 12 Thermodynamics
Chapter 13 Equilibrium Constant
Chapter 14 Acid Base Equilibria
Chapter 15 Equilibria of Other Classes
Chapter 16 Electrochemistry
Chapter 17 Kinetics
Chapter 20 Nuclear Chemistry
Lab Videos
Density Lab CHEM 1411 NT
Density Lab CHEM 1405 NT
Mixtures and Separations Lab CHEM 1405
Geometry & Hybridization Lab CHEM 1411
Determination of the Hardness of Water
Plans & Pricing
FAQ
Contact Us
About
More...
Use tab to navigate through the menu items.
Log In
density
Play Video
Search videos
Search video...
density metal 1
Play Video
density of metal 2
Play Video
density of metal 3
Play Video
bottom of page